
(elaborazione foto Shutterstock).
Non servono solo a sfogarci. Le parolacce ci fanno sentire più forti, anche nel corpo. E non è solo un’illusione: potenziano davvero la forza muscolare, fino all’8% in più. Un effetto modesto ma sensibile.
La scoperta arriva dall’università di Keele, nel Regno Unito, dove hanno misurato le prestazioni sportive di un’ottantina di persone: quando imprecavano, erano migliori rispetto a quando pronunciavano parole qualunque. Insomma, il turpiloquio è una sorta di doping naturale. Anche se la ricerca inglese lascia aperti molti interrogativi.
L’autore dell’esperimento è una nostra conoscenza: il professor Richard Stephens, ricercatore capo al laboratorio di psicobiologia della Keele University. Di lui avevo già parlato in questo articolo nel 2009, perché aveva fatto un’altra scoperta sulle parolacce: aiutano a sopportare il dolore. Sono un analgesico, insomma. Per dimostrarlo, aveva fatto immergere ad alcune persone una mano in un secchio d’acqua gelata: chi si sfogava con un’imprecazione riusciva a resistere per più tempo.
In questo nuovo esperimento, presentato alla conferenza annuale della Società britannica di psicologia, Stephens ha utilizzato invece due attrezzi sportivi: una cyclette e una pinza a molla.
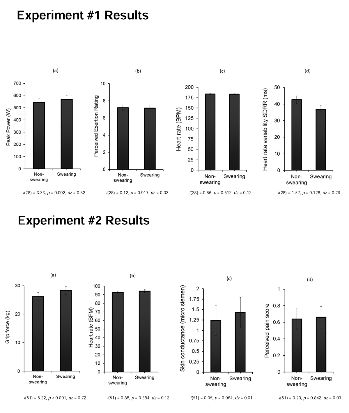
(foto Shutterstock). Nel primo esperimento, Stephens ha reclutato 29 giovani (età media 21 anni, 18 donne e 11 uomini), facendoli pedalare su una cyclette per 30 secondi in due cicli diversi. Una prima volta, mentre pedalavano, dovevano ripetere una parolaccia; una seconda volta una parola neutra (tavolo, fiore…).
Nel frattempo, gli veniva misurato anche il battito cardiaco.
Risultato: il picco di potenza aumentava in media di 24 watt (+4%) quando gli atleti dicevano la parolaccia.
Ma era l’unico effetto fisico registrato: il battito cardiaco degli atleti restava uguale in ambo i casi.
Risultato: dicendo una volgarità, le persone riuscivano a incrementare la forza di 2,1 kg (+ 8%). Il battito cardiaco restava uguale anche in questo caso; l’unica altra differenza fisica era che chi diceva una parolaccia aveva una maggiore conduttività elettrica sulla pelle. Ma questo è un effetto che si verifica sempre quando diciamo, ascoltiamo o leggiamo una parolaccia.
Al secondo esperimento hanno partecipato 52 persone (età media 19 anni, 38 donne e 14 uomini). Dovevano stringere una pinza a molla, sempre dicendo una parolaccia e poi un’altra parola qualunque. Nel frattempo, oltre al battito cardiaco, veniva misurata anche la conduttività elettrica della pelle (di cui ho già parlato in un altro esperimento).
La ricerca è suggestiva, ma lascia aperta una perplessità e molti interrogativi.
La perplessità riguarda il modo in cui è stato condotto l’esperimento: le persone non dovevano sfogarsi imprecando (cazzo! merda!), ma dovevano semplicemente pronunciare la parolaccia (e anche la parola neutra) senza urlare, con tono uniforme. Probabilmente gli sperimentatori non volevano inserire una variabile in più, quella dell’urlo.
Ma questo ha reso l’esperimento meno realistico: forse valeva la pena far urlare sia la volgarità che la parola neutra, per ottenere uno scenario più vicino alla realtà.
Le differenze di prestazioni, però, ci sono state lo stesso. E questo è plausibile, dato che le parolacce, anche se dette con tono uniforme, sono pur sempre parole vietate: dirle comporta infrangere una regola, e questo è uno stress.
Ma la maggior forza prodotta dalle scurrilità resta tutta da spiegare: i ricercatori pensavano che le parolacce stimolino il sistema nervoso simpatico, quello che si attiva facendo battere più veloce il cuore in caso di pericolo. Ma in nessuno dei due test le parolacce hanno fatto salire i battiti cardiaci.
Forse, ipotizza il ricercatore, imprecare è una “distrazione cognitiva”: fa sentire meno il dolore e quindi ci fa sopportare meglio gli sforzi fisici, liberando le nostre energie. Dunque le parolacce sono analgesiche e dopanti. Come ci riescano concretamente, ovvero attraverso quali meccanismi fisiologici, resta tutto da indagare.

A mio avviso dire una parolaccia mentre si fa uno sforzo produce un “sincronismo”, una sorta di sommatoria. Intendo dire che è molto più sensato dire parolacce o avere pensieri aggressivi mentre si è sotto sforzo (è uno stress) che non mentre si è seduti su una panchina a guardare l’orizzonte (vogliamo fare un confronto reale?) Se mentre faccio fatica devo ripetere “tavolo, tavolo,ecc.” ho un effetto inibitorio pari a quello della morosa che mentre la spogli ti dice ” hai visto quante stelle ci sono in cielo?”
Questi sono esperimenti un poco fasulli. La faccenda del potere analgesico delle parolacce mi perplime. Si consideri che le parolacce si dicono in momenti di irritazione, in situazioni di tipo “attacco /fuga” (esempio una lite). In queste situazioni il corpo è già predisposto all’analgesia. E quindi è la percezione del pericolo che può abbassare il dolore (come limitare un possibile sanguinamento) e non il fatto che si dicono le parolacce ….
Sono d’accordo sul fatto che la parolaccia (imprecazione) pronunciata durante uno stress o uno sforzo si aggiunge ad altre dinamiche corporee (produzione di adrenalina e altri ormoni e neurotrasmettitori). Ma ciò non toglie che, come mostra l’esperimento, a parità di condizioni (stress) aggiungere una parolaccia aumenta la resistenza allo sforzo. E’ un dato di fatto, che andrebbe ulteriormente approfondito: è probabile che pronunciare un’imprecazione (ovvero, infrangere un tabù) liberi energie e sia legato alla produzione di ulteriori ormoni o neurotrasmettitori. E’ un fatto abbastanza facile da accertare: basta fare un esame del sangue prima e dopo l’imprecazione. Speriamo che prima o poi qualche scienziato si prenda la briga di accertarlo.
A mio avviso bisogna fare l’esperimento anche nel caso si dica solamente “Ahia” allorchè ci si pesta un dito col martello. Anche “Ahia” fa da analgesico? Bisogna forse studiare prima perchè si hanno reazioni vocali in concomitanza con reazioni emotive di dolore, di piacere, di sorpresa. Ma continuo a dubitare che con le parolacce si abbiano effetti analgesici…
Esatto: un buon esperimento dovrebbe confrontare le reazioni di varie persone che si martellino il dito stando zitte, dicendo “Ahia” e dicendo una parolaccia. Ma che le parolacce siano uno sfogo efficace mi sembra fuor di dubbio: altrimenti non sarebbero sopravvissute fino a oggi. Questo senza nulla togliere agli altri sfoghi